total phenol 함량 측정

TPC 분석은 시료 내에 존재하는 페놀성 화합물의 총량을 정량화하여 해당 시료의 기본적인 항산화 잠재력을 측정하는 방법입니다. 가장 널리 쓰이는 Folin-Ciocalteu(FC)법을 원리로 하며, 이는 염기성 조건에서 Folin-Ciocalteu 시약(Phosphomolybdate/Phosphotungstate)이 페놀성 화합물의 하이드록실기(-OH)에 의해 환원되어 청색으로 변색되는 비색 반응을 이용합니다.

이 푸른색의 강도는 페놀 함량에 비례하며, 이를 Gallic Acid와 같은 표준 물질의 검량선과 비교하여 GAE(Gallic Acid Equivalent) 단위로 환산함으로써 객관적인 수치 데이터를 도출합니다. 

phenol 함량 측정 서비스가 필요하신가요?

연구 목적에 맞는 실험 조합, 단계별 견적, 샘플 조건을 함께 설계해 드립니다.

분석 절차
1

상담·의뢰

Consultation /Design 

2

시료 전처리·추출

Extraction / Optimization 

3

시약 반응 및 측정 

Color Reaction / Absorbance 

4

분석·납품

Data Analysis / Final Report 

응용 예시
실험 진행 사진
실험 진행 사진
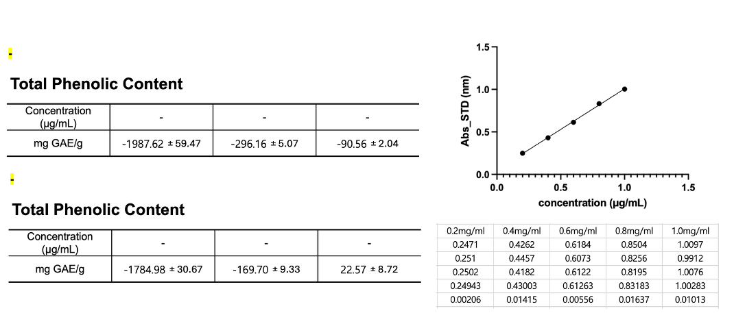
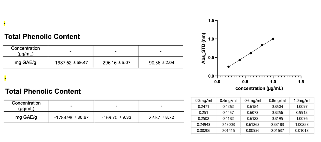
TPC 결과 데이터
TPC 결과 데이터
FAQ

Q1. TPC 분석은 무엇인가요? 

TPC 분석은 Folin-Ciocalteu 시약을 이용하여 시료 내에 존재하는 페놀성 화합물의 총량을 정량화하는 분석법입니다. 페놀 화합물은 항산화 활성의 핵심 지표로, 표준 물질인 Gallic Acid의 검량선과 비교하여 GAE(Gallic Acid Equivalent) 단위로 환산함으로써 원료의 항산화 잠재력을 객관적으로 증명합니다. 


Q2. 항산화 연구에서 TPC 측정은 왜 중요한가요? 

페놀성 화합물은 자유 라디칼을 제거하여 세포 손상을 억제하는 주된 유효 성분이기 때문입니다. TPC 데이터는 천연물 및 기능성 원료의 항산화 효능을 입증하는 가장 기초적이고 공신력 있는 지표로 활용되며, 제품의 품질 표준화 및 효능 마케팅을 위한 필수적인 근거 자료가 됩니다. 


Q3. 분석 결과는 어떻게 활용할 수 있나요? 

원료의 항산화 유효 성분 함량 증빙, 최적 추출 조건 확립을 위한 비교 데이터 확보, DPPH 활성 결과와의 상관관계 분석 등에 활용됩니다. 또한 학술 논문 게재, 기능성 입증을 위한 기술 지원 자료, 제품 상세 페이지 내 항산화 수치 제시 등에 즉시 사용 가능합니다. 

total phenol 함량 측정

TPC 분석은 시료 내에 존재하는 페놀성 화합물의 총량을 정량화하여 해당 시료의 기본적인 항산화 잠재력을 측정하는 방법입니다.

가장 널리 쓰이는 Folin-Ciocalteu(FC)법을 원리로 하며, 이는 염기성 조건에서 Folin-Ciocalteu 시약(Phosphomolybdate/Phosphotungstate)이 페놀성 화합물의 하이드록실기(-OH)에 의해 환원되어 청색으로 변색되는 비색 반응을 이용합니다.

이 푸른색의 강도는 페놀 함량에 비례하며, 이를 Gallic Acid와 같은 표준 물질의 검량선과 비교하여 GAE (Gallic Acid Equivalent) 단위로 환산함으로써 객관적인 수치 데이터를 도출합니다. 

phenol 함량 측정 서비스가 필요하신가요?

연구 목적에 맞는 실험 조합, 단계별 견적,
샘플 조건을 함께 설계해 드립니다.

분석 절차
1

상담·의뢰

Consultation /Design

2

시료 전처리·추출

Extraction / Optimization

3

시약 반응 및 측정 

Color Reaction / Absorbance

4

분석·납품

Data Analysis / Final Report

응용 예시
실험 진행 사진
실험 진행 사진
TPC 결과 데이터
TPC 결과 데이터
FAQ

※ 각 질문을 탭하시면 답변을 확인하실 수 있습니다.

TPC 분석은 무엇인가요? 
TPC 분석은 Folin-Ciocalteu 시약을 이용하여 시료 내에 존재하는 페놀성 화합물의 총량을 정량화하는 분석법입니다. 페놀 화합물은 항산화 활성의 핵심 지표로, 표준 물질인 Gallic Acid의 검량선과 비교하여 GAE(Gallic Acid Equivalent) 단위로 환산함으로써 원료의 항산화 잠재력을 객관적으로 증명합니다.
항산화 연구에서 TPC 측정은 왜 중요한가요? 
페놀성 화합물은 자유 라디칼을 제거하여 세포 손상을 억제하는 주된 유효 성분이기 때문입니다. TPC 데이터는 천연물 및 기능성 원료의 항산화 효능을 입증하는 가장 기초적이고 공신력 있는 지표로 활용되며, 제품의 품질 표준화 및 효능 마케팅을 위한 필수적인 근거 자료가 됩니다.
분석 결과는 어떻게 활용할 수 있나요? 
원료의 항산화 유효 성분 함량 증빙, 최적 추출 조건 확립을 위한 비교 데이터 확보, DPPH 활성 결과와의 상관관계 분석 등에 활용됩니다. 또한 학술 논문 게재, 기능성 입증을 위한 기술 지원 자료, 제품 상세 페이지 내 항산화 수치 제시 등에 즉시 사용 가능합니다.

Start your innovation.

혁신의 시작, BITOIC 와 함께 하세요.

Start your innovation.

혁신의 시작, BITOIC 와 함께 하세요.

ⓒ UMUST R&D All Rights Reserved.

회사 소개 | 이용 약관 | 개인정보 처리방침 | 서비스 이용방법

CUSTOMER CENTER

서비스 문의: 010-2971-8101

가입 및 의뢰: u-service@naver.com

평일 오전 09:00 ~ 오후 5:00 | 점심시간 오후 12:00 ~ 오후 13:00 토 / 일 / 공휴일 휴무

INFORMATION

대표: 이강파

TEL: 010-2971-8101 

E-mail: bitoic@umust.co.kr 

Address: 서울 도봉구 마들로 13길 61 창동 씨드큐브 C동 303호

ⓒ UMUST R&D All Rights Reserved.

CUSTOMER CENTER

서비스 문의: 010-2971-8101

가입 및 의뢰: u-service@naver.com

주소: 서울 도봉구 마들로 13길 61 창동 씨드큐브 C동 303호

평일 오전 09:00 ~ 오후 5:00 | 점심시간 오후 12:00 ~ 오후 13:00

토 / 일 / 공휴일 휴무